通胀预期超过央行加息速度,日元走强可能会遭到抑制?
摘要:通胀预期超过央行加息速度,日元走强可能会遭到抑制?对日本消费价格上涨的押注抑制了经通胀调整后的债券收益率,进而削弱了债券对日元的支撑能力。衡量市场对未来价格上涨预期的一个重要指标——10 年盈亏平衡通胀率——本周飙升至自 2004 年有记录以来的最高水平。周一早些时候,通胀率一度触及 1.74% 左右,此后一直保持在 1.7% 以上,即便美联储理事上田一夫曾强烈暗示,央行可能会在本月晚些时候的会议
通胀预期超过央行加息速度,日元走强可能会遭到抑制?
对日本消费价格上涨的押注抑制了经通胀调整后的债券收益率,进而削弱了债券对日元的支撑能力。
衡量市场对未来价格上涨预期的一个重要指标——10 年盈亏平衡通胀率——本周飙升至自 2004 年有记录以来的最高水平。
周一早些时候,通胀率一度触及 1.74% 左右,此后一直保持在 1.7% 以上,即便美联储理事上田一夫曾强烈暗示,央行可能会在本月晚些时候的会议上收紧货币政策以抑制通胀。
上田提高政策利率虽然会推高名义债券收益率,这对日元有利,但如果消费者价格持续上涨过快,削弱日元的购买力,那么这种影响就会减弱。
“由于预期通胀上升,日本央行的加息不会导致实际利率上升,因此不会成为支撑日元的因素,” SMBC日兴证券首席外汇及外国债券策略师野地诚表示。
10年期盈亏平衡通胀率衡量的是名义政府债券收益率与相同期限的通胀挂钩债券利率之间的差值。从10年期债券收益率中减去盈亏平衡通胀率,得到的实际收益率约为0.2%。
上田表示,实际利率较低,即使加息后,货币政策仍将保持宽松。
技术面分析:
黄金:昨天我们插件提醒的蓝色区域buy stop,曾经出现一波效果,但距离1:1的盈亏比有2美元的差距。价格目前回到4200附近等待流动性清扫。因此我们建议保持4180-4190区域低扫之后的多头信号捕捉。上方需要收复4130才能打开更多空间。详细位置请咨询插件。

(黄金 15min图)
纳指:昨天我们插件提醒的蓝色区域buy stop没有能够入场,日内我们继续对此处保持关注,有突破信号还是可以参与。另外,目前下方流动性汇集在25400/25450附近区域,日内低扫之后仍要尝试一次反弹机会。详细位置请咨询插件。

(纳指 15min图)
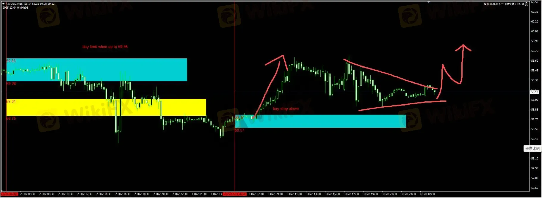
原油:昨天我们插件提醒的蓝色区域buy stop表现非常完美,能够实现4倍左右的盈亏比。日内我们关注近端收敛突破的情况。详细位置请咨询插件。

(原油 15min图)
今日重点关注的财经数据与事件:
18:00 欧元区10月零售销售
21:30 美国上周季调后初请失业金人数(千人)(至1129)
免责声明:
本文观点仅代表作者个人观点,不构成本平台的投资建议,本平台不对文章信息准确性、完整性和及时性作出任何保证,亦不对因使用或信赖文章信息引发的任何损失承担责任
